728x90
1. 불확실성
- 현실세계에서 판단을 내릴때 100퍼센트 확실한 전제에 근거하기 매우 어렵다.
- 따라서 인공지능에서는 믿음의 정도를 다루기 위해 probability theory에 기대서 표현한다.
2. 조건부 확률


- 사후확률을을 사전확률만 가지고 구할 수 있다.
- 단 A와 B가 서로 독립인 사건에 대해서 조건부확률을 베이즈 규칙에 따라 다음과 같이 표현할 수 있다.

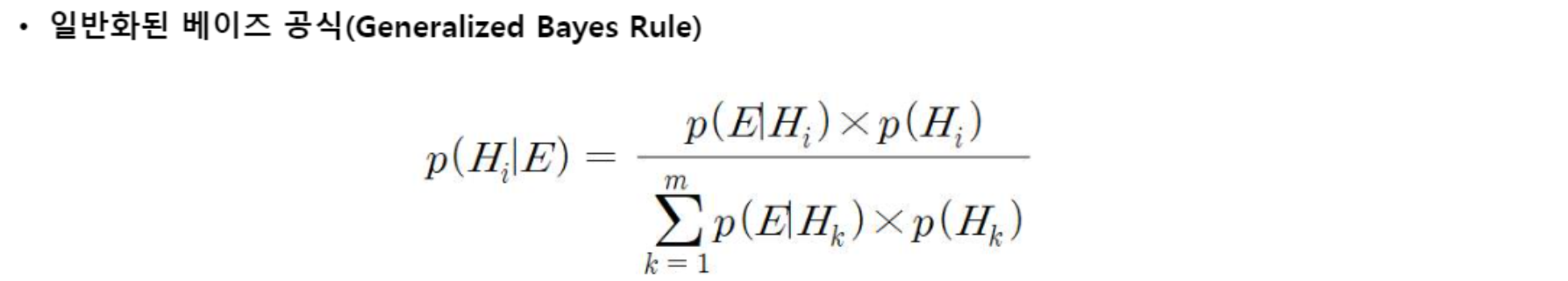
3. 베이즈 정리를 추론에 적용
- 전문가 시스템에서 결론을 내릴때 확률을 함께 기입하는 것이다.
- 사전에 근거에 따른 가설의 확률을 설정해야 한다.


- 만약 근거와 가설이 여러개라면 다음과 같이 표현한다.

4. 확신도
- 매번 확률을 계산하기 너무 힘드니까. 확신도로 전문가들의 신뢰도를 나타낸다.


728x90
반응형
'ComputerScience > Machine Learning' 카테고리의 다른 글
| AI - 8. Linear Regression (0) | 2021.11.08 |
|---|---|
| AI - 7. 머신러닝 개요 (0) | 2021.11.03 |
| DeepLearning 2-2-1 (0) | 2021.10.06 |
| DeepLearning 2-1-2 (0) | 2021.10.05 |
| DeepLearning 2-1-1 (0) | 2021.10.05 |