1. Linear Independent
Let's say we have x1, ..., xk vectors. If we can express one vector with another
Thoese vectors are linearly dependent if and only if (at least) one of them is a linear combination of the others. In particular, if one vector is a multiple of another vector then the set is lineary dependent.
Here is a practical way of checking whether vectors x1, ..., xk are lineary independent.

We have a set of vectors.

If we can find a non-trivial solution (λ1, λ2, λ3), it means that one of them is a linear combination of the others, which means this set of vectors is dependent.
Suddenly this turns out to solving the linear system.

Except [0 0 0], there's no solution (no non-trivial solutions, any solution in which at least one variable has a nonzero value)
Hence, the vectors, x1, x2, x3 are linearly independent.

All column vectors are lineary independent if and only if all columns are pivot columns. If there is at least one non-pivot column, the columns are linearly dependent.
2. Linear Independent #2
Let's see one more problem.

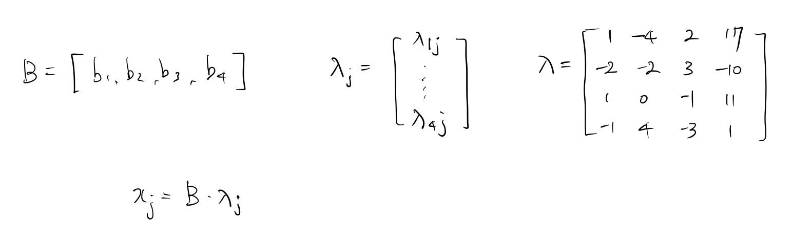
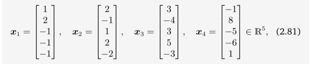
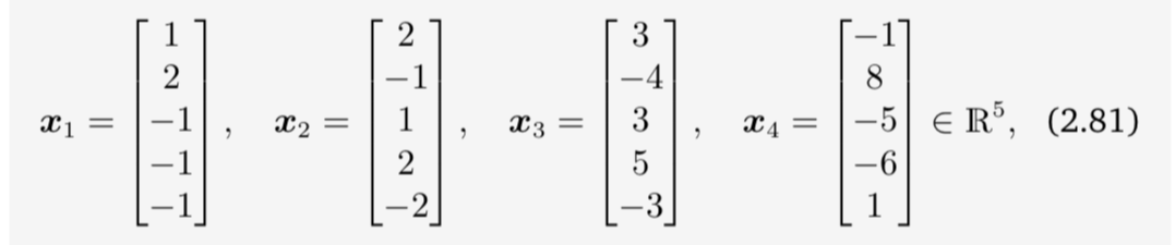
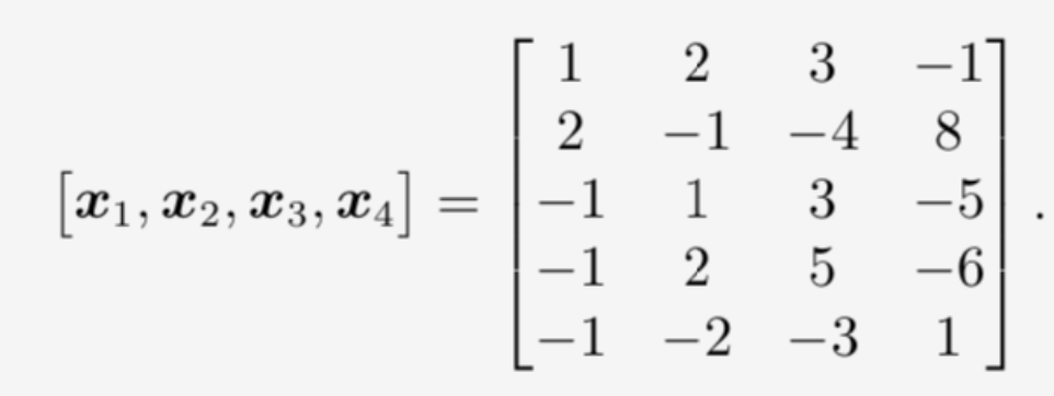
Are the vectors x1, ... , x4 linearly independent?

To know this, we have to see whether this linear system has non-trivial solution(dependent) or not(independent).

Let's define B = [b1, ..., b4] as the matrix whose columns are the linearly independent vectors. With B and λ we can express x like above.

So x1, x2, x3, x4 are linearly independent if and only if column vectors λ1, ..., λ4 are linearly independent.

Then transform λ into RREF, there are only 3 pivot colmns(There are non-trivial solutions). This means that the vector x4 can be expressed with x1, x2, x3, x4 = -7x1-15x2-18x3. So the vectors {x1, x2, x3, x4} are linearly dependent.
3. Generating Set, Span and Basis
Consider a vector space 𝑉 = (V, +, *) and set of vectors A = {x1, ..., xk) ⊆ V. If every vector v ∈ V can be expressed as a linear combination of x1, ... , xk. A is called a generating set of V.
𝑉 = span[A]. A spans 𝑉.
Generating sets are sets of vectors that span vector (sub)spaces.
Every linearly independent generating set of 𝑉 is minial and is called a basis of 𝑉

4. Determining a Basis
For a vector subspace U ⊆ R^5, spanned by the vectors.

We want to find out which vectors are a basis for U. For this we need to check who are linearly independent.


Transform this into REF

x1, x2, x4 are linearly independent (the system of linear equation λ1x1 + λ2x2 + λ4x4 = 0 can only be solved with [0,0,0]).
So the basis of U {x1, x2, x4}
5. Rank
The number of linearly independent columns of a matrix A ∈ R^mxn equals to the number of linearly independent rows.
And this is called the rank of A, rk(A)
1 0 1
0 1 1
0 0 0
rk(2), the number of linearly independent rows/cols
1 2 1
-2 -3 1
3 5 0
---------- transform into REF
1 2 1
0 1 3
0 0 0
----------
rk(A) = 2'boostcamp AI tech > boostcamp AI' 카테고리의 다른 글
| [Math] Groups, Vector Spaces and Vector Subspaces (0) | 2024.10.02 |
|---|---|
| [Math] Finding Solutions of a System of Linear Equations (0) | 2024.09.28 |
| [PyTorch] Modify Gradient while Backward Propagation Using Hook (0) | 2024.09.27 |
| [Math] Viewing Deep Learning From Maximum Likelihood Estimation Perspective (0) | 2024.09.25 |
| Docker (1) | 2024.03.06 |